繁體 简体 EN
 
 
 
首页 : 产品介绍 / 电子材料 / 双马来酰亚胺树脂
   
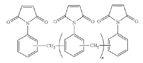
  双马来酰亚胺树脂 DBC 2300
   
   
 
产品名称
DBC 2300
CAS No.
67784-74-1
化学名称
芐基甲基马来酰亚胺混合物
结构
外观
黄色至土黄色粉体
熔点
60-150℃
酸价
<12 mg KOH/g
应用
1. 多层层压板用基体树脂原料
2. 橡胶化学品
3. 耐热成型材料
4. 电机用耐热清漆
5. 高压电缆绝缘子
   
   
   
 
     
 
Copyright © 双键化工股份有限公司
地址 / 新北市中和区中正路959号4楼  电话 / 02-8228-1168  传真 / 02-82281818
E-mail / dbcsales@dbc.com.tw
design by RATER